Free Access

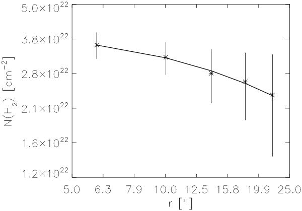
Fig. 6

thumbnail

Radial profile of the column density of SMM 1 displayed with logarithmic scale for both axes. The data points represent azimuthally averaged values inside 4″ wide annuli (Fig. 4). The vertical error bars reflect the standard deviation of the azimuthal averaging. The mean radial N(H2) profile can be fitted by a power-law with between the flat inner core and the “edge”, as indicated by the thick solid line.

Current usage metrics show cumulative count of Article Views (full-text article views including HTML views, PDF and ePub downloads, according to the available data) and Abstracts Views on Vision4Press platform.

Data correspond to usage on the plateform after 2015. The current usage metrics is available 48-96 hours after online publication and is updated daily on week days.

Initial download of the metrics may take a while.