Free Access

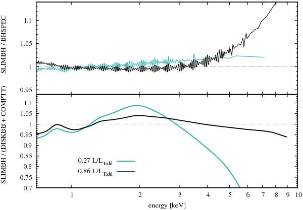
Fig. 4

thumbnail

The high and low luminosity model ratios SLIMBH vs. BHSPEC (upper panel) and SLIMBH vs. DISKPBB+COMPTT (lower panel) for the same spectra as in Fig. 3. Note the different scales on the y-axes.

Current usage metrics show cumulative count of Article Views (full-text article views including HTML views, PDF and ePub downloads, according to the available data) and Abstracts Views on Vision4Press platform.

Data correspond to usage on the plateform after 2015. The current usage metrics is available 48-96 hours after online publication and is updated daily on week days.

Initial download of the metrics may take a while.