Free Access

Fig. 11

thumbnail

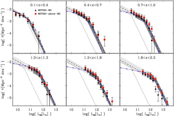
Comparisons between the infrared luminosity functions derived using PACS observations and those derived using MIPS observations. PACS-based IR LFs are shown as dark/light shaded areas and dashed lines (see also Fig. 10). MIPS-based IR LFs are derived using MS-based 24 μm-to-LIR conversion factors (black triangles) and above-MS-based 24 μm-to-LIR conversion factors (red squares; see text for more details). The dotted lines show the local reference taken from Sanders et al. (2003). Blue triple-dot-dashed lines present results from Gruppioni et al. (2013). At low luminosities, the agreement between PACS-based and MIPS-based IR LFs confirms that PACS extrapolations towards lower infrared luminosities (i.e., light shaded areas) are reliable, at least down to the infrared luminosities probed by Spitzer.

Current usage metrics show cumulative count of Article Views (full-text article views including HTML views, PDF and ePub downloads, according to the available data) and Abstracts Views on Vision4Press platform.

Data correspond to usage on the plateform after 2015. The current usage metrics is available 48-96 hours after online publication and is updated daily on week days.

Initial download of the metrics may take a while.