Free Access

Fig. A.2

thumbnail

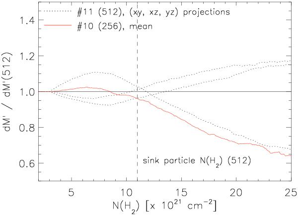
Effect of simulation resolution to the DGMFs. The red line shows the DGMF of simulation #10 (2563 cells in size) divided by the DGMF of simulation #11 (5123 cells in size). The physical parameters of the two simulations are the same. The dashed lines show the DGMFs calculated for different projections of model #11 divided by the mean DGMF of model #11.

Current usage metrics show cumulative count of Article Views (full-text article views including HTML views, PDF and ePub downloads, according to the available data) and Abstracts Views on Vision4Press platform.

Data correspond to usage on the plateform after 2015. The current usage metrics is available 48-96 hours after online publication and is updated daily on week days.

Initial download of the metrics may take a while.