Free Access

Fig. 1

thumbnail

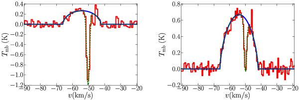
Ground-based JCMT observations of OH 127.8+0.0. The left panel shows the CO J = 2 − 1 observation in red, whereas the CO J = 3 − 2 is shown in the right panel. The dashed green curve gives a line profile fit including a soft-parabola and a Gaussian function. The full blue curve indicates only the soft-parabola component, which represents the emission coming from the CSE of OH 127.8+0.0. The Gaussian component reproduces the interstellar absorption.

This figure is made of several images, please see below:

Current usage metrics show cumulative count of Article Views (full-text article views including HTML views, PDF and ePub downloads, according to the available data) and Abstracts Views on Vision4Press platform.

Data correspond to usage on the plateform after 2015. The current usage metrics is available 48-96 hours after online publication and is updated daily on week days.

Initial download of the metrics may take a while.