Free Access

Fig. 8

thumbnail

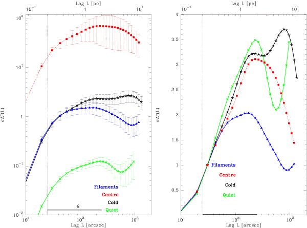
Left: Δ-variance results including errorbars for the four sub-regions in NGC 6334 in logarithmic scaling. The lower x-axis gives the length scale in arcseconds, while the upper x-axis gives it in parsec. The grey dashed line indicates the angular resolution limit of 25. β was fitted starting from the resolution limit of 0.2 pc (25) until the first significant structure relevant for all regions (2 pc). This range is indicated as a line at the bottom of the figure. However, this fit is not always a perfect power law. Right: the same Δ-variance for the sub-regions shown in linear scaling in order to emphasize the differences in the curves. The curves are normalized to the value of the Δ-variance for 30.

This figure is made of several images, please see below:

Current usage metrics show cumulative count of Article Views (full-text article views including HTML views, PDF and ePub downloads, according to the available data) and Abstracts Views on Vision4Press platform.

Data correspond to usage on the plateform after 2015. The current usage metrics is available 48-96 hours after online publication and is updated daily on week days.

Initial download of the metrics may take a while.