Free Access

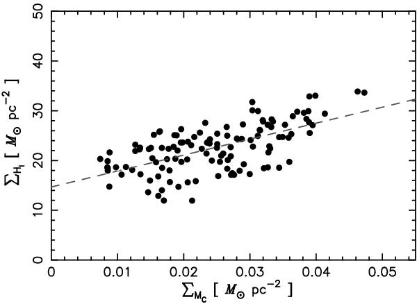
Fig. 10

thumbnail

Correlation between the H i gas and the cold dust mass surface densities for field positions in Fig 8. H i gas mass surface densities are obtained from H i column density map (Ryder et al. 1995). The dashed line shows the median H i gas mass-to-dust mass ratio of 320.

Current usage metrics show cumulative count of Article Views (full-text article views including HTML views, PDF and ePub downloads, according to the available data) and Abstracts Views on Vision4Press platform.

Data correspond to usage on the plateform after 2015. The current usage metrics is available 48-96 hours after online publication and is updated daily on week days.

Initial download of the metrics may take a while.