Free Access

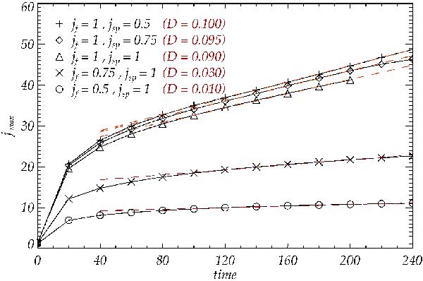
Fig. 12

thumbnail

Time evolution of the peak current for five experiments with different initial current densities involving jf and jsp, and an initial plasma pressure of p0 = 1. When a good asymptotic regime is achieved, a fit of jmax = C + Dt is overplotted (red dashed).

Current usage metrics show cumulative count of Article Views (full-text article views including HTML views, PDF and ePub downloads, according to the available data) and Abstracts Views on Vision4Press platform.

Data correspond to usage on the plateform after 2015. The current usage metrics is available 48-96 hours after online publication and is updated daily on week days.

Initial download of the metrics may take a while.