Free Access

Fig. 1

thumbnail

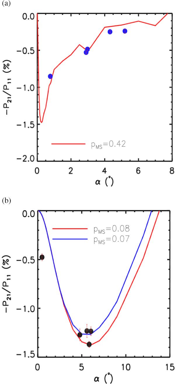
Degree of linear polarization, − P21/P11, versus phase angle α, obtained using the RT-CB model, along with the respective geometric albedo values pMS retrieved in each computation run. The top panel(a) shows comparison of polarization measurements of Iapetus’ trailing side (circles with error bars) with the RT-CB model, while the bottom panel (b) shows comparison of the model with the polarization measurements of Iapetus’ leading side.

Current usage metrics show cumulative count of Article Views (full-text article views including HTML views, PDF and ePub downloads, according to the available data) and Abstracts Views on Vision4Press platform.

Data correspond to usage on the plateform after 2015. The current usage metrics is available 48-96 hours after online publication and is updated daily on week days.

Initial download of the metrics may take a while.