Free Access

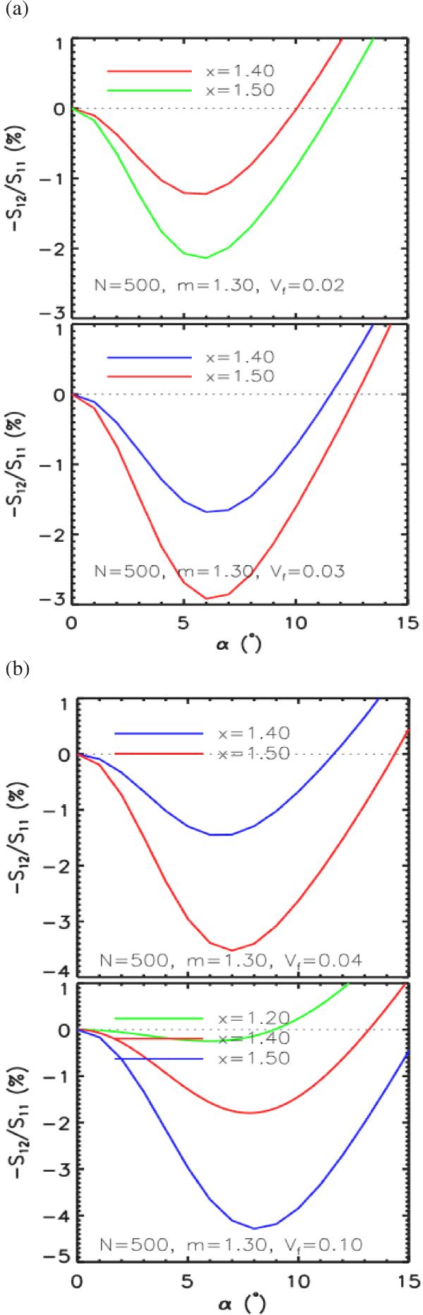
Fig. 2

thumbnail

Degree of linear polarization, − S12/S11, versus phase angle α for water ice (m = 1.30) of different volume fractions Vf, obtained using T-matrix method. It can be seen from all panels of the cases (a) and (b) that larger particle sizes x lead to deeper polarization curve, for the considered number of particles (N = 500).

Current usage metrics show cumulative count of Article Views (full-text article views including HTML views, PDF and ePub downloads, according to the available data) and Abstracts Views on Vision4Press platform.

Data correspond to usage on the plateform after 2015. The current usage metrics is available 48-96 hours after online publication and is updated daily on week days.

Initial download of the metrics may take a while.