Free Access

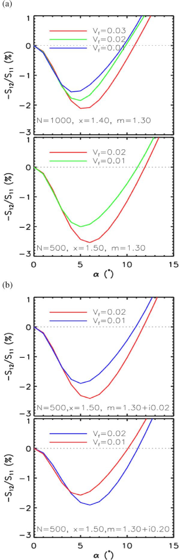
Fig. 5

thumbnail

Same as Fig. 2 for water ice of different particle sizes x(a) and for media with refractive indices m = 1.30 + i (0.02 ≤ mi ≤ 0.20) having similar particle sizes x(b). In both cases, for the considered number of particles N, the polarization curve gets deeper as the volume fraction Vf increases, with the αmin shifting towards higher phase angles.

Current usage metrics show cumulative count of Article Views (full-text article views including HTML views, PDF and ePub downloads, according to the available data) and Abstracts Views on Vision4Press platform.

Data correspond to usage on the plateform after 2015. The current usage metrics is available 48-96 hours after online publication and is updated daily on week days.

Initial download of the metrics may take a while.