Free Access

Fig. 1

thumbnail

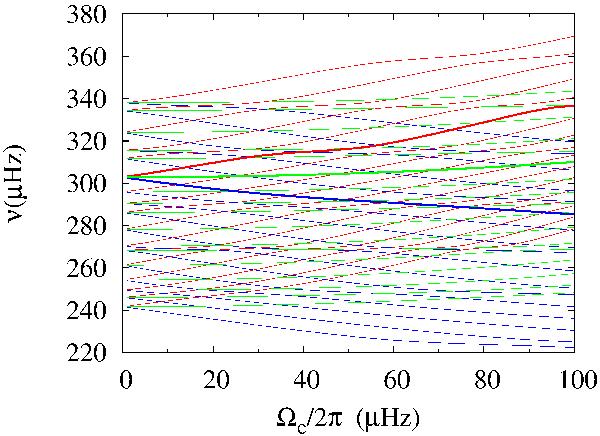
Pulsation frequencies in the inertial frame ν (in μHz) versus core rotation frequency Ωc/2π (in μHz) for dipolar multiplets. Red curves refer to m =  − 1 (prograde) modes, green curves to m = 0 modes (axis-symmetric), and blue curves to m = 1 (retrograde) modes, for central rotation frequency ranging from 0 to 100 μHz.

Current usage metrics show cumulative count of Article Views (full-text article views including HTML views, PDF and ePub downloads, according to the available data) and Abstracts Views on Vision4Press platform.

Data correspond to usage on the plateform after 2015. The current usage metrics is available 48-96 hours after online publication and is updated daily on week days.

Initial download of the metrics may take a while.