Free Access

Fig. 2

thumbnail

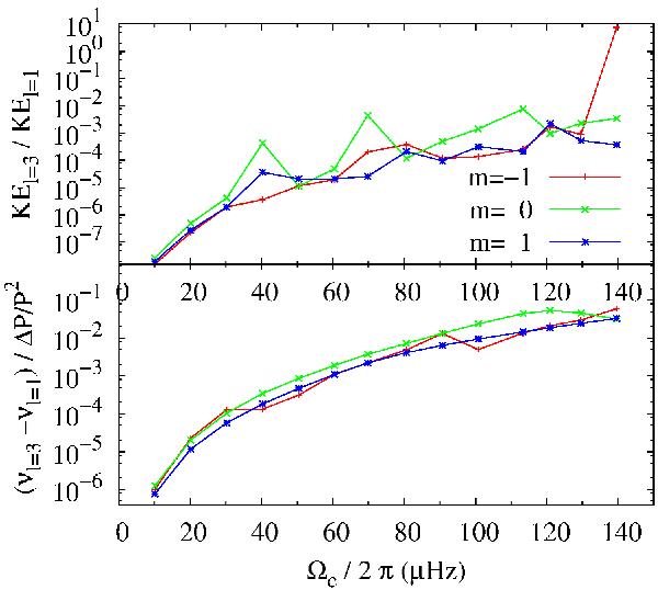
Top: ratio between the contributions to kinetic energy of the  = 3 component and the  = 1 component of a dominated  = 1 mode. Bottom: difference between the pulsation frequencies computed with three coupling terms (M = 3) and with one coupling term (M = 1), divided by the frequency separation between two consecutive mixed modes. Computed for the triplet indicated in thick lines in Fig. 1.

Current usage metrics show cumulative count of Article Views (full-text article views including HTML views, PDF and ePub downloads, according to the available data) and Abstracts Views on Vision4Press platform.

Data correspond to usage on the plateform after 2015. The current usage metrics is available 48-96 hours after online publication and is updated daily on week days.

Initial download of the metrics may take a while.