Free Access

Fig. 1

thumbnail

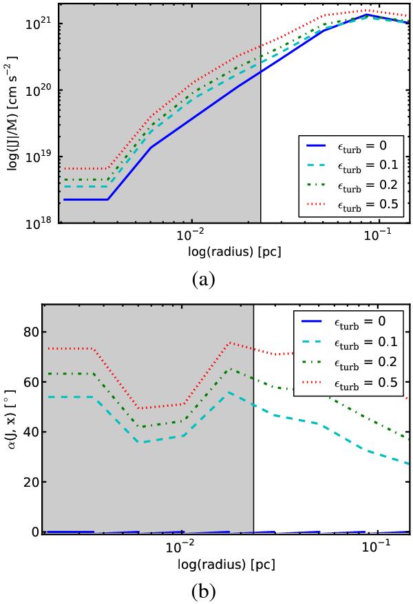
Specific angular momentum (upper panel) and initial angle between the rotation axis and the x-axis at t = 0 yr. The shaded area corresponds to the central region of the prestellar core of radius r0.

This figure is made of several images, please see below:

Current usage metrics show cumulative count of Article Views (full-text article views including HTML views, PDF and ePub downloads, according to the available data) and Abstracts Views on Vision4Press platform.

Data correspond to usage on the plateform after 2015. The current usage metrics is available 48-96 hours after online publication and is updated daily on week days.

Initial download of the metrics may take a while.