Free Access

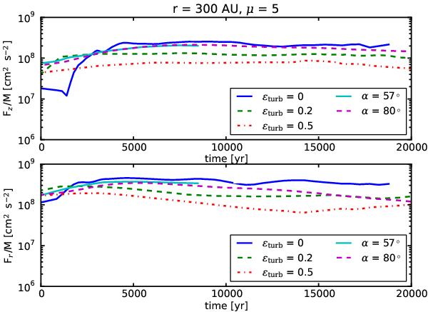
Fig. 15

thumbnail

Time evolution of the vertical and radial components of the flux of specific angular momentum transported by the magnetic field in logarithmic scale. The cases shown are for μ = 5, and include turbulence (ϵturb = 0.2 and 0.5), no turbulence and aligned (ϵturb = 0 and α = 0°), and no turbulence but an initial misalignment (α = 57° and α = 80°).

Current usage metrics show cumulative count of Article Views (full-text article views including HTML views, PDF and ePub downloads, according to the available data) and Abstracts Views on Vision4Press platform.

Data correspond to usage on the plateform after 2015. The current usage metrics is available 48-96 hours after online publication and is updated daily on week days.

Initial download of the metrics may take a while.