Free Access

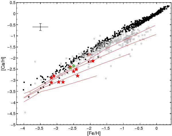
Fig. 5

thumbnail

Ca abundances from the same sources as in Fig. 3, with Fe and Ca values for the Hercules UFD taken from A11. The red lines are chemical evolution models for Hercules (Lanfranchi & Matteucci 2004; Koch et al. 2012b), assuming star-forming efficiencies ν of (top to bottom) 0.1, 0.01, 0.001, and 0.0001 Gyr-1.

Current usage metrics show cumulative count of Article Views (full-text article views including HTML views, PDF and ePub downloads, according to the available data) and Abstracts Views on Vision4Press platform.

Data correspond to usage on the plateform after 2015. The current usage metrics is available 48-96 hours after online publication and is updated daily on week days.

Initial download of the metrics may take a while.