Free Access

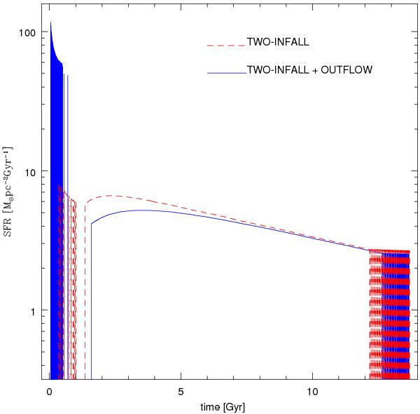
Fig. 2

thumbnail

Star formation rate as a function of time predicted by the two-infall model (red dashed) and by the two-infall + outflow model (blue solid). The oscillating behavior during both the halo and the last disk phases is an effect of the gas density threshold for star formation (see Chiappini et al. 1997).

Current usage metrics show cumulative count of Article Views (full-text article views including HTML views, PDF and ePub downloads, according to the available data) and Abstracts Views on Vision4Press platform.

Data correspond to usage on the plateform after 2015. The current usage metrics is available 48-96 hours after online publication and is updated daily on week days.

Initial download of the metrics may take a while.