Free Access

Fig. 11

thumbnail

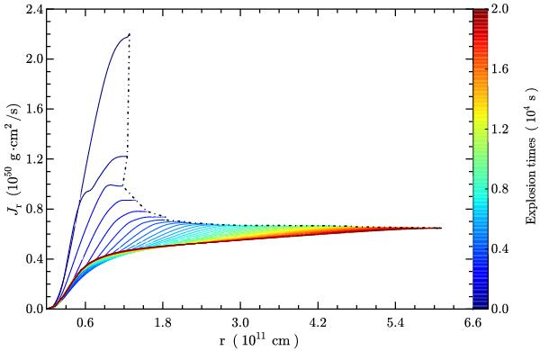
Evolution of the angular momentum distribution inside the companion star of model MS_110. The color scale gives the time since the explosion. Here, r is the distance from the rotation axes (z-axis), Jr denotes the angular momentum of all bound particles interior to the corresponding cylindrical surface r. Each colored solid curve shows the radial distribution of the angular momentum Jr at a given time. The dashed-dotted curve corresponds to the temporal evolution of the total angular momentum of the companion star.

Current usage metrics show cumulative count of Article Views (full-text article views including HTML views, PDF and ePub downloads, according to the available data) and Abstracts Views on Vision4Press platform.

Data correspond to usage on the plateform after 2015. The current usage metrics is available 48-96 hours after online publication and is updated daily on week days.

Initial download of the metrics may take a while.