Free Access

Fig. 5

thumbnail

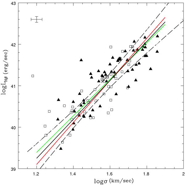
L-σHβ diagram. The red line denotes the linear regression fitting of the isolated HII galaxies (triangles), while the green line denotes the fitting of those that have at least one spectroscopically or photometrically confirmed neighbor within 200 (squares). The black line is the fitting of the parent sample and the dashed lines define the 2σ confidence band of the regression line. Typical 1σ errors are shown on the upper left corner of the plot.

Current usage metrics show cumulative count of Article Views (full-text article views including HTML views, PDF and ePub downloads, according to the available data) and Abstracts Views on Vision4Press platform.

Data correspond to usage on the plateform after 2015. The current usage metrics is available 48-96 hours after online publication and is updated daily on week days.

Initial download of the metrics may take a while.