Free Access

Fig. 2

thumbnail

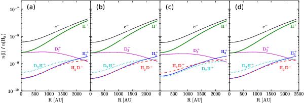
Radial abundances (with respect to n(H2)) of protons, and its deuterated isotopologs and electrons (indicated in the figure). Panel a) is a reproduction of the middle panel of Fig. 6 in Sipilä et al. (2010) (showing abundances at t = 106 years), calculated with the version of the chemical code used in that paper (see text). The two middle panels use the same physical model as in panel a), but chemical evolution has been calculated with the present version of the chemical code (see text) with quantum tunneling turned either on (panel b)) or off (panel c)). Panel d) plots again the same physical situation but calculated with the new reaction network presented in this paper, with initial heavy element abundances set to zero.

Current usage metrics show cumulative count of Article Views (full-text article views including HTML views, PDF and ePub downloads, according to the available data) and Abstracts Views on Vision4Press platform.

Data correspond to usage on the plateform after 2015. The current usage metrics is available 48-96 hours after online publication and is updated daily on week days.

Initial download of the metrics may take a while.