Free Access

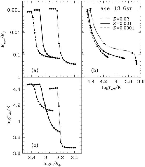
Fig. 3

thumbnail

Panel a) envelope mass distribution of ZAHB stars produced by the tidally enhanced stellar wind. Panel b) relationship between the envelope mass and effective temperature of ZAHB stars. Panel c) effective temperature distribution of ZAHB stars produced by the tidally enhanced stellar wind. The dashed, solid, and dotted curves in each panel correspond to the model calculations for three different metallicities as in Fig. 1, namely Z = 0.0001, 0.001, 0.02, respectively. The two adjacent solid dots in each curve of these three panels denote a fixed separation interval of Δlog a/R = 0.025 (a is the separation of binary system).

Current usage metrics show cumulative count of Article Views (full-text article views including HTML views, PDF and ePub downloads, according to the available data) and Abstracts Views on Vision4Press platform.

Data correspond to usage on the plateform after 2015. The current usage metrics is available 48-96 hours after online publication and is updated daily on week days.

Initial download of the metrics may take a while.