Free Access

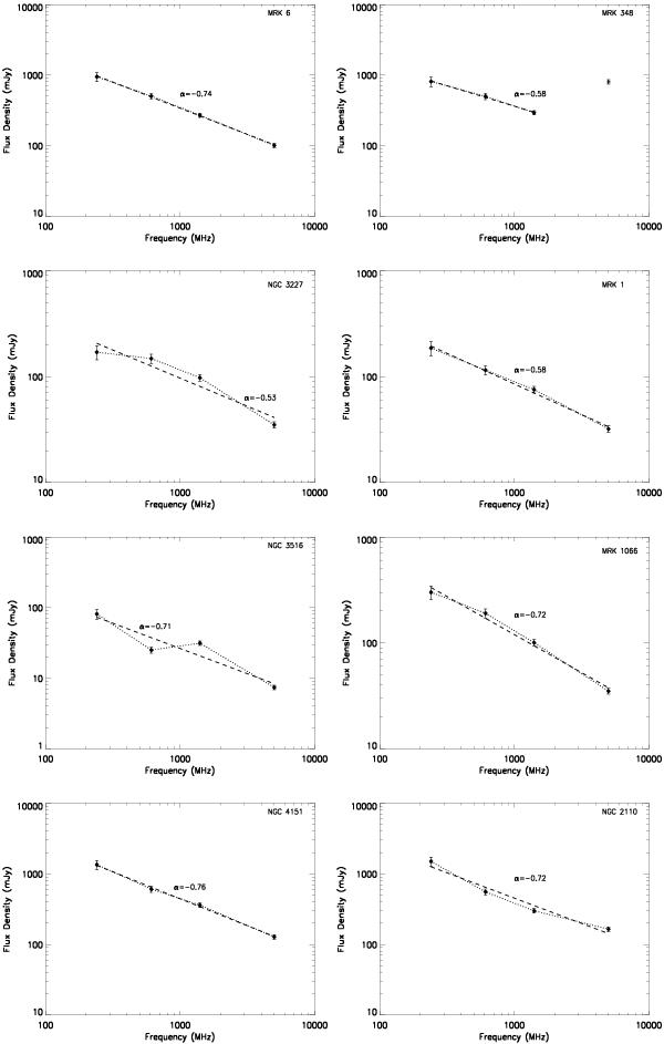
Fig. 4

thumbnail

Four-point (240 MHz, 610 MHz, 1.4 GHz, and 5.0 GHz) radio spectra of Seyfert galaxies in our sample. The dotted line connects the flux density points and dashed line shows the least chi-square linear fit to the spectral points. Radio spectra of Seyfert types 1s and 2s are shown in the left and right panels, respectively.

Current usage metrics show cumulative count of Article Views (full-text article views including HTML views, PDF and ePub downloads, according to the available data) and Abstracts Views on Vision4Press platform.

Data correspond to usage on the plateform after 2015. The current usage metrics is available 48-96 hours after online publication and is updated daily on week days.

Initial download of the metrics may take a while.