Free Access

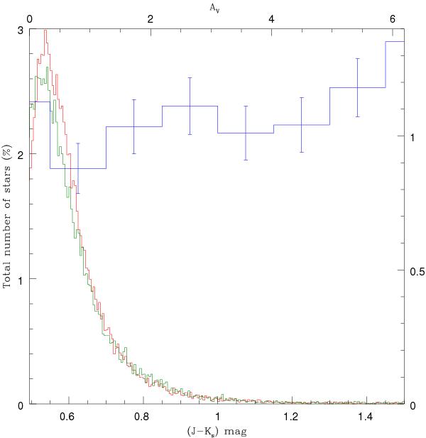
Fig. 12

thumbnail

Histograms of more luminous (red) and less luminous (green) RC stars, normalised to total number of stars in selection. In blue is the ratio of less luminous to more luminous stellar numbers using a larger bin size (ratio given on right y-axis). Sources within detector 16 region have been excluded from selection.

Current usage metrics show cumulative count of Article Views (full-text article views including HTML views, PDF and ePub downloads, according to the available data) and Abstracts Views on Vision4Press platform.

Data correspond to usage on the plateform after 2015. The current usage metrics is available 48-96 hours after online publication and is updated daily on week days.

Initial download of the metrics may take a while.