Free Access

Fig. 4

thumbnail

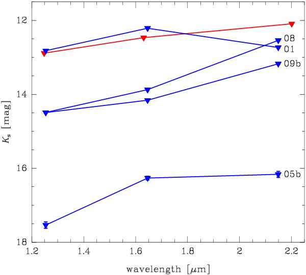
Spectral energy distribution for the novae showing the extreme colours in Fig. 3: Nova Sgr 2001, Nova Sgr 2005b, Nova Sgr 2008, and Nova Sgr 2009b. Data for Nova Sgr 2001 taken with UKIRT are also shown (red points; see Sect. 4).

Current usage metrics show cumulative count of Article Views (full-text article views including HTML views, PDF and ePub downloads, according to the available data) and Abstracts Views on Vision4Press platform.

Data correspond to usage on the plateform after 2015. The current usage metrics is available 48-96 hours after online publication and is updated daily on week days.

Initial download of the metrics may take a while.