Free Access

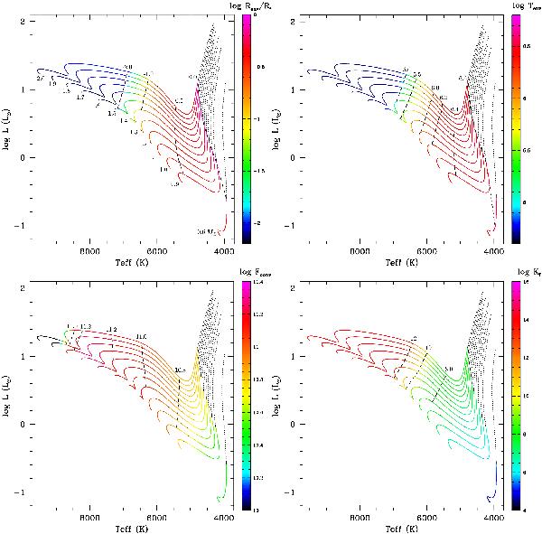
Fig. 1

thumbnail

PMS tracks in the Hertzsprung-Russel diagram for solar metallicity stars with initial masses between 0.6 and 2.0 M (classical models are shown here) and properties of the external convective layers. Colors indicate the radial extent of the convective envelope (top left panel), the temperature at its bottom (top right panel), the maximal convective flux (bottom left panel), and the thermal diffusivity below the envelope (bottom right panel). Dashed lines connect points with similar values for these quantities, and the colored axes are in cgs units. The dotted parts of the tracks correspond to the phase when the stars are still fully convective.

Current usage metrics show cumulative count of Article Views (full-text article views including HTML views, PDF and ePub downloads, according to the available data) and Abstracts Views on Vision4Press platform.

Data correspond to usage on the plateform after 2015. The current usage metrics is available 48-96 hours after online publication and is updated daily on week days.

Initial download of the metrics may take a while.