Free Access

Fig. 3

thumbnail

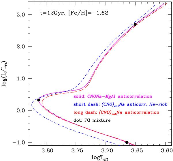
Isochrones for an age of 12 Gyr and [Fe/H]  =  −1.61, under various assumptions about the metal mixture and the initial He abundance. The CNONa-MgAl label denotes the mixture with the C-N, Na-O and Mg-Al anticorrelations, and Y = 0.246; (CNO)enhNa denotes a mixture with C-N, Na-O anticorrelation, and the CNO sum enhanced by a factor of two with respect to the FG mixture – as in 42 – and Y = 0.246; (CNO)enhNa,He − rich denotes the same mixture as the (CNO)enhNa case, but with Y = 0.40. Filled circles mark selected points along the isochrones for which we show in the following the corresponding synthetic spectra.

Current usage metrics show cumulative count of Article Views (full-text article views including HTML views, PDF and ePub downloads, according to the available data) and Abstracts Views on Vision4Press platform.

Data correspond to usage on the plateform after 2015. The current usage metrics is available 48-96 hours after online publication and is updated daily on week days.

Initial download of the metrics may take a while.