Highlight
Free Access

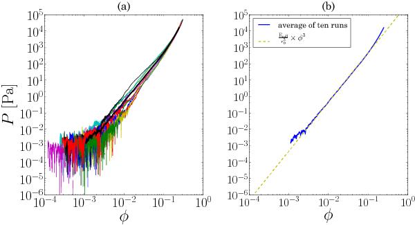
Fig. 4

thumbnail

a) Pressure P in [Pa] against filling factor φ. The ten thin solid lines show the results for the initial BCCA clusters with different initial random numbers and thick solid line shows the arithmetic average of the ten runs. b) Pressure P in [Pa] against filling factor φ. Same as the thick solid line in a) plotted with a dotted line of Eq. (25). The parameters are N = 16   384, Cv = 3 × 10-7, kn = 0.01, and ξcrit = 8   Å.

Current usage metrics show cumulative count of Article Views (full-text article views including HTML views, PDF and ePub downloads, according to the available data) and Abstracts Views on Vision4Press platform.

Data correspond to usage on the plateform after 2015. The current usage metrics is available 48-96 hours after online publication and is updated daily on week days.

Initial download of the metrics may take a while.