Highlight
Free Access

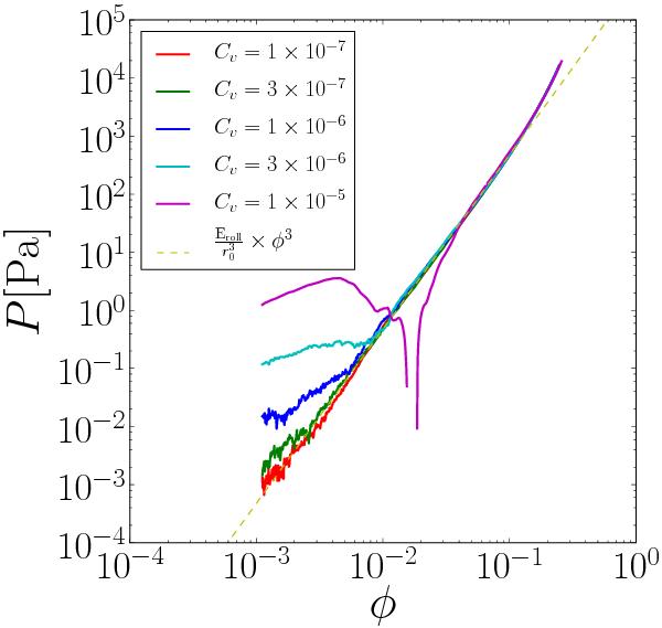
Fig. 5

thumbnail

Pressure P in [Pa] against filling factor φ with different strain rate parameter Cv. Each line shows the average of ten runs of the fixed strain rate: Cv = 1 × 10-7, 3 × 10-7, 1 × 10-6, 3 × 10-6, 1 × 10-5. The other parameters are the same for every ten runs: N = 16   384, kn = 0.01, and ξcrit = 8 Å. The dashed line is Eq. (25).

Current usage metrics show cumulative count of Article Views (full-text article views including HTML views, PDF and ePub downloads, according to the available data) and Abstracts Views on Vision4Press platform.

Data correspond to usage on the plateform after 2015. The current usage metrics is available 48-96 hours after online publication and is updated daily on week days.

Initial download of the metrics may take a while.