Free Access

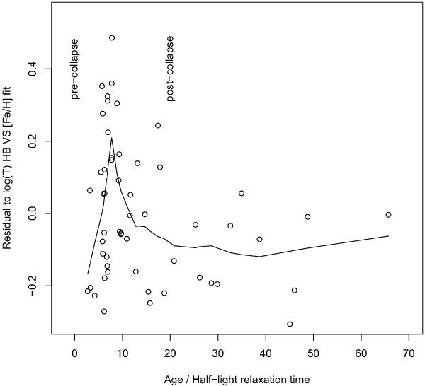
Fig. 4

thumbnail

Residuals to the linear regression plotted in Fig. 1 as a function of GC age to relaxation-time ratio (as in Fig. 3). The superimposed local polynomial regression line (dashed) is also obtained as in Fig. 3 and shows an overall very similar behavior of the residuals.

Current usage metrics show cumulative count of Article Views (full-text article views including HTML views, PDF and ePub downloads, according to the available data) and Abstracts Views on Vision4Press platform.

Data correspond to usage on the plateform after 2015. The current usage metrics is available 48-96 hours after online publication and is updated daily on week days.

Initial download of the metrics may take a while.