Free Access

Fig. 7

thumbnail

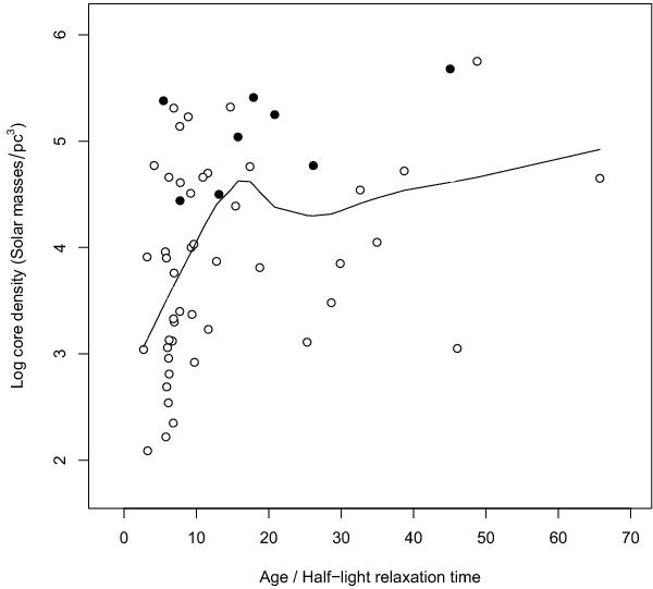
Log core density of the R06 GCs (estimated from central surface brightness) as a function of dynamical age. Filled circles are high-concentration GCs which have been assigned c = 2.5 in Harris (1996). The surface-brightness profiles of these GCs show a central cusp, and they are often termed collapsed-core even though the link between cuspy profiles and dynamically collapsed cores is uncertain. Density estimated from surface brightness does actually show a mild peak at a dynamical age of about 15–20 (solid smoothing line), but does not follow a pattern as distinctive as that of the overall density obtained from simulations, and the presence of a central cusp is not a guarantee of old dynamical age.

Current usage metrics show cumulative count of Article Views (full-text article views including HTML views, PDF and ePub downloads, according to the available data) and Abstracts Views on Vision4Press platform.

Data correspond to usage on the plateform after 2015. The current usage metrics is available 48-96 hours after online publication and is updated daily on week days.

Initial download of the metrics may take a while.