Free Access

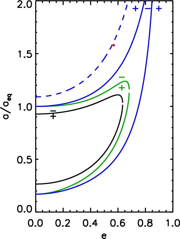
Fig. 5

thumbnail

Regions of different types of tidal evolution for the planetary system KOI-889, neglecting magnetic braking following Hut (1981). The semi-major axis a is normalized to its value at the stable equilibrium aeq. The black, solid line gives the stationary points of the eccentricity, with the plus and minus signs indicating the domains where the eccentricity increases and decreases, respectively. The green and blue solid lines give the corresponding information for the semi-major axis and rotational angular velocity of the star, respectively. The dashed, blue line separates the upper region where Ω < 0 from the lower region where Ω > 0. The red dot is the present state of the system, corresponding to an evolution where dΩ/dt > 0, da/dt < 0, and de/dt < 0.

Current usage metrics show cumulative count of Article Views (full-text article views including HTML views, PDF and ePub downloads, according to the available data) and Abstracts Views on Vision4Press platform.

Data correspond to usage on the plateform after 2015. The current usage metrics is available 48-96 hours after online publication and is updated daily on week days.

Initial download of the metrics may take a while.