Free Access

Fig. 7

thumbnail

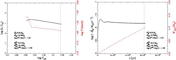
Results of binary evolution calculations with initial masses of the two components and the orbital period similar to the sdB+WD binary system. Left panel: the evolutionary track of the He star is shown as a solid curve and the evolution of the orbital period as a dash-dotted curve. Right panel: the solid and dash-dotted curves show the mass-transfer rate and the mass of the WD envelope (He shell) varying with time after the He star fills its Roche lobe, respectively. Dotted vertical lines in both panels indicate the position where the double-detonation may happen (the mass of the He shell increases to ~0.1 M). The initial binary parameters and the parameters at the moment of the SN explosion are also given in the two panels.

This figure is made of several images, please see below:

Current usage metrics show cumulative count of Article Views (full-text article views including HTML views, PDF and ePub downloads, according to the available data) and Abstracts Views on Vision4Press platform.

Data correspond to usage on the plateform after 2015. The current usage metrics is available 48-96 hours after online publication and is updated daily on week days.

Initial download of the metrics may take a while.