Free Access

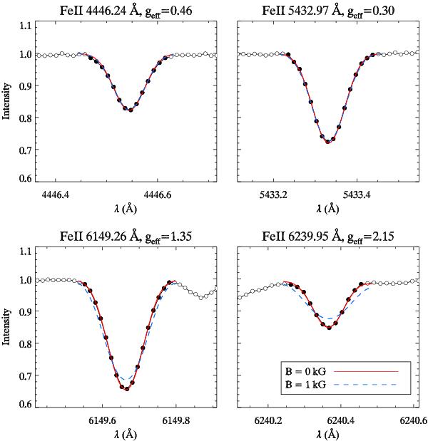
Fig. 7

thumbnail

Comparison of observations and synthetic spectra computed for Fe ii lines of different magnetic sensitivity in the spectrum of HD 71066. Observations are shown with symbols. Filled circles indicate the wavelength interval considered for the least-squares fit. The solid line represents synthetic spectrum in the absence of magnetic field. The dashed line corresponds to the calculations for 1 kG turbulent field.

Current usage metrics show cumulative count of Article Views (full-text article views including HTML views, PDF and ePub downloads, according to the available data) and Abstracts Views on Vision4Press platform.

Data correspond to usage on the plateform after 2015. The current usage metrics is available 48-96 hours after online publication and is updated daily on week days.

Initial download of the metrics may take a while.