Highlight
Free Access

Fig. A.2

thumbnail

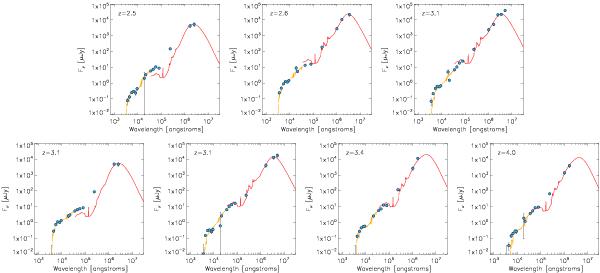
Rest-frame UV-to-FIR SEDs of the 7 PACS-detected LBGs at z ~ 3 in the GOODS-North fields. These plots represent the typical SED of the studied galaxies. Orange curves represent the best-fit Bruzual & Charlot (2003) templates to the U-band to IRAC-8 μm fluxes. Red curves represent the best-fit Chary & Elbaz (2001) templates to the MIPS-24 μm to PACS and SPIRE fluxes. The photometric redshift of each source is indicated in each panel.

This figure is made of several images, please see below:

Current usage metrics show cumulative count of Article Views (full-text article views including HTML views, PDF and ePub downloads, according to the available data) and Abstracts Views on Vision4Press platform.

Data correspond to usage on the plateform after 2015. The current usage metrics is available 48-96 hours after online publication and is updated daily on week days.

Initial download of the metrics may take a while.