Free Access

Fig. 1

thumbnail

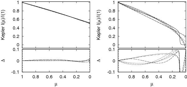
Kepler-band model intensity profiles (black-solid) predicted for both plane-parallel (left) and spherically symmetric (right) model stellar atmospheres with Teff = 5000 K, log g = 2 and M = 10  M. Along with the intensity profiles, best-fit linear (green-dashed), quadratic (orange-short-dashed), square-root (blue-dotted), four-parameter (violet-long-dash-dotted), logarithmic (brown-short-dash-dotted), and exponential (grey-double-dash) limb-darkening relations are plotted. Bottom panels show the difference, Δ ≡ Imodel − Ilaw, between model intensities and best-fit limb-darkening laws.

This figure is made of several images, please see below:

Current usage metrics show cumulative count of Article Views (full-text article views including HTML views, PDF and ePub downloads, according to the available data) and Abstracts Views on Vision4Press platform.

Data correspond to usage on the plateform after 2015. The current usage metrics is available 48-96 hours after online publication and is updated daily on week days.

Initial download of the metrics may take a while.