Free Access

Fig. 3

thumbnail

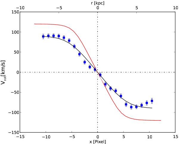
Example of RC fitting. The blue squares indicate the observed rotation velocities as a function of the position along the spatial axis of the spectrum (in pix). The black line depicts the best-fit synthetic RC to these data points. From the best-fit parameters (here Vmax = 118  km   s-1, rt = 4.1 pix) we can infer the intrinsic shape of the RC (in red). Here the x-axis is the galactocentric radius (in kpc) (here , , z = 0.17, ). Geometric and observational effects lower the observed rotation velocities.

Current usage metrics show cumulative count of Article Views (full-text article views including HTML views, PDF and ePub downloads, according to the available data) and Abstracts Views on Vision4Press platform.

Data correspond to usage on the plateform after 2015. The current usage metrics is available 48-96 hours after online publication and is updated daily on week days.

Initial download of the metrics may take a while.