Free Access

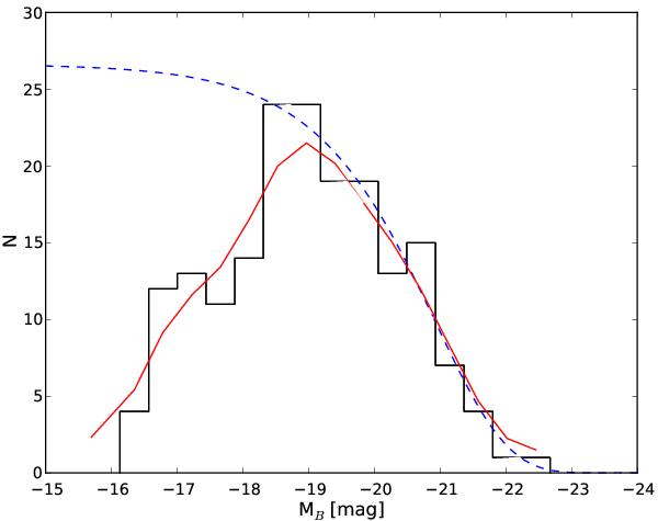
Fig. 5

thumbnail

B-band luminosity histogram of our spectroscopic sample. The red solid line depicts a Hanning-smoothed fit to this histogram. The blue dashed line indicates a Schechter fit to the bright end (). The obtained parameter is for the characteristic luminosity. We assume a slope at the faint end of α =  − 1.00. The incompleteness of our sample is given by the difference between the two lines.

Current usage metrics show cumulative count of Article Views (full-text article views including HTML views, PDF and ePub downloads, according to the available data) and Abstracts Views on Vision4Press platform.

Data correspond to usage on the plateform after 2015. The current usage metrics is available 48-96 hours after online publication and is updated daily on week days.

Initial download of the metrics may take a while.