Free Access

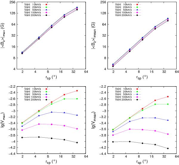
Fig. 5

thumbnail

Mean longitudinal magnetic field and the LSD Stokes V profile amplitude as a function of the magnetic spot radius and projected rotational velocity. These calculations were carried out for Teff = 20 000 K and magnetic filling factor fsp = 0.5. The top panels show maximum |  ⟨ Bz ⟩  | for a sample of 20 rotational phases (top left) and |  ⟨ Bz ⟩  | averaged over this set of rotational phases (top right). The bottom panels illustrate the corresponding maximum (bottom left) and mean (bottom right) circular polarization amplitude. Each point in this plot was computed by averaging over 100 different random realizations of the magnetic spot distributions.

Current usage metrics show cumulative count of Article Views (full-text article views including HTML views, PDF and ePub downloads, according to the available data) and Abstracts Views on Vision4Press platform.

Data correspond to usage on the plateform after 2015. The current usage metrics is available 48-96 hours after online publication and is updated daily on week days.

Initial download of the metrics may take a while.