Free Access

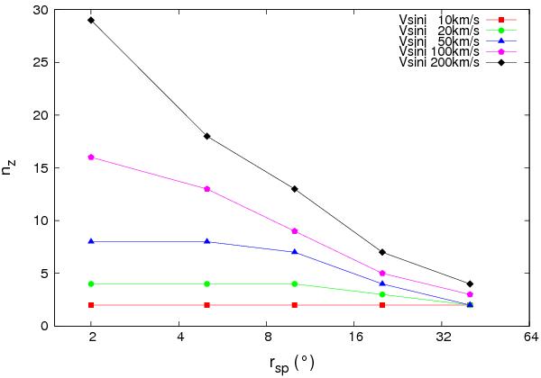
Fig. 6

thumbnail

Number of intersections of the zero line in the Stokes V profiles as a function of the magnetic spot radius and projected rotational velocity. Each point is a median computed over 20 rotational phases and 100 different random realizations of magnetic spot distributions.

Current usage metrics show cumulative count of Article Views (full-text article views including HTML views, PDF and ePub downloads, according to the available data) and Abstracts Views on Vision4Press platform.

Data correspond to usage on the plateform after 2015. The current usage metrics is available 48-96 hours after online publication and is updated daily on week days.

Initial download of the metrics may take a while.