Free Access

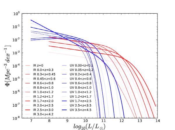
Fig. 1

thumbnail

Redshift evolution of the FIR (red, Gruppioni et al. 2013) and FUV (blue, Cucciati et al. 2012) LFs. Note that the FUV LFs are uncorrected for dust attenuation. The LFs at every other redshift are plotted in bold. The others are fainter to facilitate reading the figure. The LFs are plotted within the limits of integration.

Current usage metrics show cumulative count of Article Views (full-text article views including HTML views, PDF and ePub downloads, according to the available data) and Abstracts Views on Vision4Press platform.

Data correspond to usage on the plateform after 2015. The current usage metrics is available 48-96 hours after online publication and is updated daily on week days.

Initial download of the metrics may take a while.