Free Access

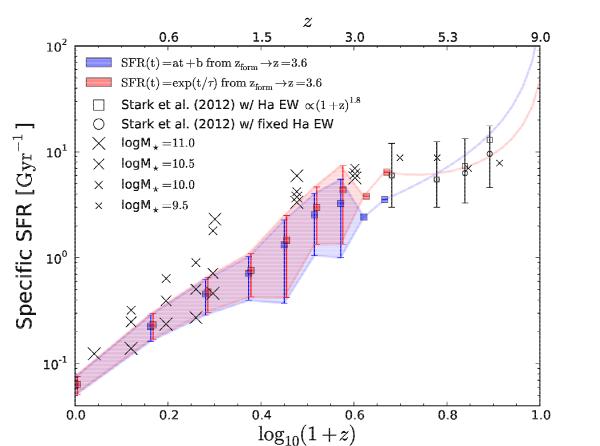
Fig. 6

thumbnail

Cosmic sSFR vs. z extrapolated beyond the observed limit at z = 3.6 with different options (see text). At z < 4, crosses are extracted from several galaxy surveys and are shown as a function of the considered log 10M in Noeske et al. (2007), Daddi et al. (2007), and Wuyts et al. (2011) and at z > 4 in Bouwens et al. (2012). Below z = 3.6, our data suggest that the sSFR are dominated by log 10M ~ 10.5−11.0 galaxies. At z > 4 the extrapolations agree with log 10M ~ 9.5, as evaluated by Bouwens et al. (2012).

Current usage metrics show cumulative count of Article Views (full-text article views including HTML views, PDF and ePub downloads, according to the available data) and Abstracts Views on Vision4Press platform.

Data correspond to usage on the plateform after 2015. The current usage metrics is available 48-96 hours after online publication and is updated daily on week days.

Initial download of the metrics may take a while.