Free Access

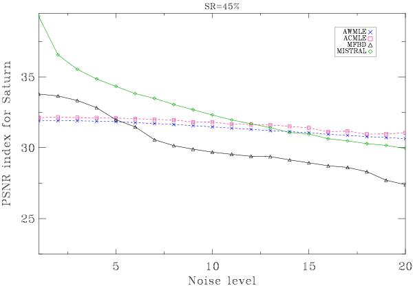
Fig. 5

thumbnail

PSNR evolution of Saturn reconstructions with respect to the level of noise. Blurred simulated images were corrupted with Gaussian noise with standard deviations ranging from σ = 1 to σ = 20. All reconstructions used the SR = 45% PSF as the calibrator. Pink squares: ACMLE. Blue crosses: AWMLE. Green diamonds: MISTRAL. Black triangles: MFBD.

Current usage metrics show cumulative count of Article Views (full-text article views including HTML views, PDF and ePub downloads, according to the available data) and Abstracts Views on Vision4Press platform.

Data correspond to usage on the plateform after 2015. The current usage metrics is available 48-96 hours after online publication and is updated daily on week days.

Initial download of the metrics may take a while.