Free Access

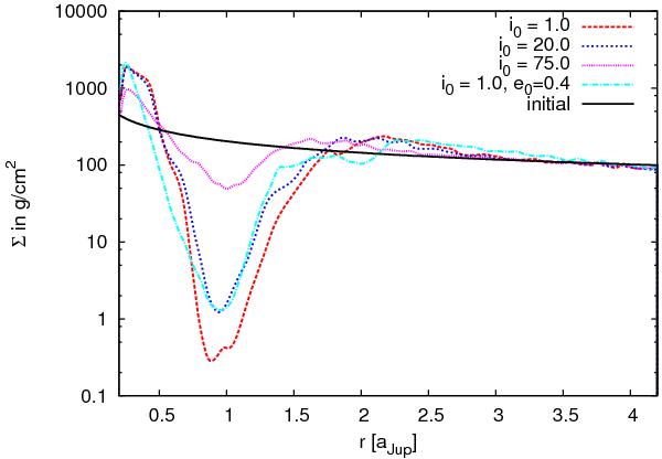
Fig. 1

thumbnail

Surface density for disc simulations with 10 MJup planets in circular and eccentric orbits with different inclinations. The surface density is plotted after 400 planetary orbits. The evolution has reached an equilibrium state, meaning that the surface density does not change in time any more.

Current usage metrics show cumulative count of Article Views (full-text article views including HTML views, PDF and ePub downloads, according to the available data) and Abstracts Views on Vision4Press platform.

Data correspond to usage on the plateform after 2015. The current usage metrics is available 48-96 hours after online publication and is updated daily on week days.

Initial download of the metrics may take a while.