Free Access

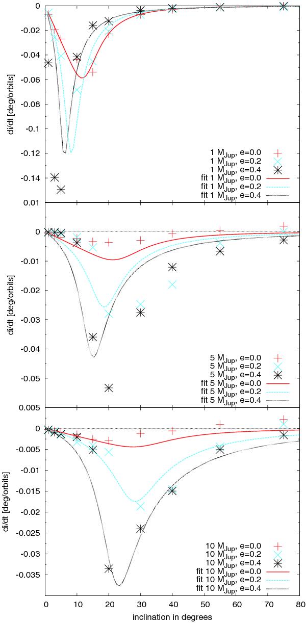
Fig. 5

thumbnail

Change of inclination di/dt for planets with 1 MJup, 5 MJup, and 10 MJup with different eccentricities. di/dt is in degrees per orbit at the planet’s location rP = 1.0aJup. Points are results from numerical simulations, while lines indicate the fitting of the data. The 1 MJup planets have been evolved for 200 planetary orbits, the 5 MJup and 10 MJup planets have been evolved for 400 orbits. The forces used to calculate the data points have been averaged over 40 planetary orbits for all simulations.

Current usage metrics show cumulative count of Article Views (full-text article views including HTML views, PDF and ePub downloads, according to the available data) and Abstracts Views on Vision4Press platform.

Data correspond to usage on the plateform after 2015. The current usage metrics is available 48-96 hours after online publication and is updated daily on week days.

Initial download of the metrics may take a while.