Free Access

Fig. 15

thumbnail

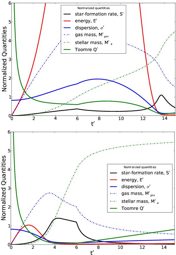
Six normalized quantities (see legend) as a function of time, where t/t′ = 90 Myr or about 1/3 of a dynamical time of the potential. To limit the total mass so that it does not become too large compared to the observations, the accretion ended at t′ = 6 (about 540 Myr or two dynamical times). The top panel is for a relatively high assumed efficiency of coupling of the mechanical energy output of the stellar population to the ISM (12%), whereas the bottom panel is for a relatively low coupling efficiency (5%). The scalings for these normalized quantities are provided in the text (see Elmegreen & Burkert 2010).

This figure is made of several images, please see below:

Current usage metrics show cumulative count of Article Views (full-text article views including HTML views, PDF and ePub downloads, according to the available data) and Abstracts Views on Vision4Press platform.

Data correspond to usage on the plateform after 2015. The current usage metrics is available 48-96 hours after online publication and is updated daily on week days.

Initial download of the metrics may take a while.