Free Access

Fig. 12

thumbnail

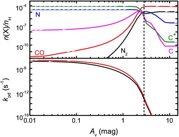
Top: relative abundances of N (blue), N2 (black), C (magenta), C+ (green) and CO (red) as functions of depth into a dense PDR. Bottom: photodissociation rates of N2 and CO as functions of depth into a dense PDR. The vertical dashed line indicates where He+ and H take over from photodissociation as the main destruction mechanism for N2.

Current usage metrics show cumulative count of Article Views (full-text article views including HTML views, PDF and ePub downloads, according to the available data) and Abstracts Views on Vision4Press platform.

Data correspond to usage on the plateform after 2015. The current usage metrics is available 48-96 hours after online publication and is updated daily on week days.

Initial download of the metrics may take a while.