Free Access

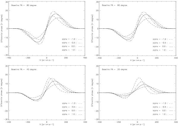
Fig. 16

thumbnail

Evolution of the differential phase as a function of the wavelength through the He i line for different values of α. Differential phases were computed for different orientations and a 60-m baseline. The position angle of the star is assumed to be equal to zero, the inclination angle of the rotation axis is i = 45°, and the stellar angular diameter is assumed to be 1.3 mas.

This figure is made of several images, please see below:

Current usage metrics show cumulative count of Article Views (full-text article views including HTML views, PDF and ePub downloads, according to the available data) and Abstracts Views on Vision4Press platform.

Data correspond to usage on the plateform after 2015. The current usage metrics is available 48-96 hours after online publication and is updated daily on week days.

Initial download of the metrics may take a while.