Free Access

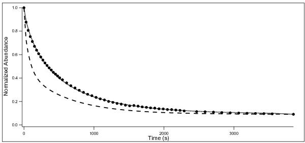
Fig. 3

thumbnail

Isothermal diffusion of NH3 through a porous ASW layer at 115 K. Markers: experimental IR decay curve sexp(t) of NH3. Theoretical curve sfl(t) using the Fick’s second law for diffusion (dashed line). Theoretical curve sfl(t) using the Avrami equation (solid line).

Current usage metrics show cumulative count of Article Views (full-text article views including HTML views, PDF and ePub downloads, according to the available data) and Abstracts Views on Vision4Press platform.

Data correspond to usage on the plateform after 2015. The current usage metrics is available 48-96 hours after online publication and is updated daily on week days.

Initial download of the metrics may take a while.