Free Access

Fig. 4

thumbnail

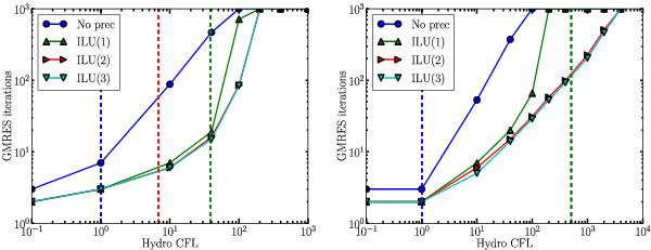
Number of GMRES iterations for different CFLhydro and different preconditioning strategy (including no preconditioning) for the red giant (left panel) and the young Sun (right panel) models. The tolerance of the linear solver is η = 10-4 and the maximum number of iterations is set to 1000. The vertical dashed lines denote the position of CFLhydro = 1 (blue line), CFLadv = 1 (green line), CFLrad = 1 (red line). In the right panel, CFLrad = 1 falls outside of the figure.

This figure is made of several images, please see below:

Current usage metrics show cumulative count of Article Views (full-text article views including HTML views, PDF and ePub downloads, according to the available data) and Abstracts Views on Vision4Press platform.

Data correspond to usage on the plateform after 2015. The current usage metrics is available 48-96 hours after online publication and is updated daily on week days.

Initial download of the metrics may take a while.