Free Access

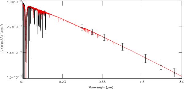
Fig. 3

thumbnail

Spectral energy distribution of AzV 189, from FUV (COS spectrum) to NIR (data from Bonanos et al. 2010). The fit to the SED with a model with a luminosity derived with the procedure outlined in the text, to take into account the potential binarity of this system, is shown in red. We used a distance modulus DM = 18.9 and E(B − V)Gal = 0.037 and E(B − V)SMC = 0.1.

Current usage metrics show cumulative count of Article Views (full-text article views including HTML views, PDF and ePub downloads, according to the available data) and Abstracts Views on Vision4Press platform.

Data correspond to usage on the plateform after 2015. The current usage metrics is available 48-96 hours after online publication and is updated daily on week days.

Initial download of the metrics may take a while.